Saltar menú de navegación Teclas de acceso rápido

Click aquí para activar las notificaciones y recibir las noticias directamente en su escritorio.

Interes General

Vence el lunes próximo: cómo recategorizarse en el Monotributo

 

Hasta el 21 de enero próximo hay tiempo para que los monotributistas, que tuvieron cambios en su facturación o en alguno de los parámetros del régimensimplificado, puedan recategorizarse.

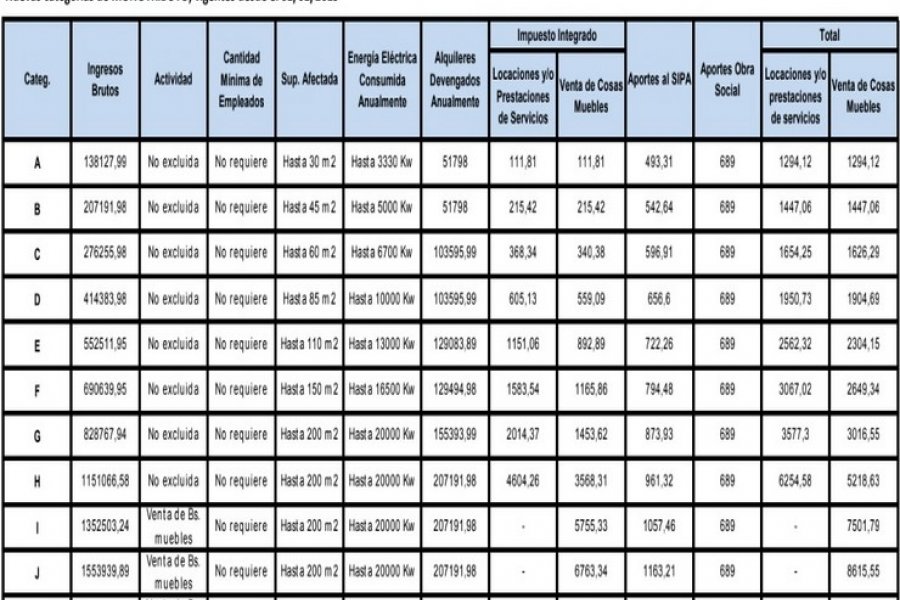
Los parámetros a tomar en cuenta para la esta recategorización, son los actulizados para 2019, que se publicaron días atrás y tienen un 28,48% de aumento, respecto de las de 2018.

 

Recordemos que la última reforma tributaria introdujo modificaciones al Régimen Simplificado para Pequeños Contribuyentes (RS), entre tales modificaciones, se estableció que la recategorización se efectuará por semestre calendario (enero/junio y julio/diciembre). A continuación, el consultor tributario, Ignacio Barrios, da respuesta a las dudas más frecuentes.

 

¿Quienes deben recategorizarse?

Hay que calcular los ingresos brutos acumulados, la energía eléctrica consumida, los alquileres devengados y la superficie afectada a la actividad en los 12 meses inmediatos anteriores.

Si como resultado de ese cálculo, se supera o queda por debajo de los límites de tu categoría, hay que recategorizar.

¿Cuáles son los parámetros para la recategorización?

A los efectos de la recategorización, se deberán considerar los ingresos brutos acumulados, la energía eléctrica consumida y los alquileres devengados en los 12 meses inmediatos anteriores (enero 2018 a Diciembre 2018), así como la superficie afectada a la actividad en ese momento.

Si no transcurrieron 12 meses desde el inicio de actividad, ¿cómo se debe de realizar el cálculo a los efectos de la recategorización?

De haber transcurrido seis meses completos o más desde el inicio de actividades al momento de la recategorización, se deberá proceder a anualizar los parámetros a fin de determinar la recategorización.

Para esto se deberá sumar los ingresos de los meses transcurridos desde el inicio de actividad, hasta la finalización del semestre calendario por el que se recategoriza. Ese importe total deberá dividirse por la cantidad de dichos meses y multiplicarse por 12.

De no haber transcurrido seis meses completos, se mantendrá la categorización inicial hasta el momento de la primera recategorización

Una vez realizada la recategorización, ¿Cuándo se empieza a pagar el importe de la nueva categoría?

El importe correspondiente a la nueva categoría, se deberá ingresar a partir del mes siguiente al de la recategorización. Para este caso, febrero 2019.

¿En qué casos los monotributistas no se encuentran obligados a realizar la recategorización?

Los pequeños contribuyentes no están obligados a cumplir con la recategorización cuando:

a) Deban permanecer en la misma categoría del Régimen Simplificado

Cuando se trate de pequeños contribuyentes inscriptos en el Registro Nacional de Efectores de Desarrollo Social y Economía Social del Ministerio de Desarrollo Social y asociados a cooperativas de trabajo, no resultará de aplicación la excepción prevista en el primer párrafo.

b) Se trate del inicio de actividades, y por el período comprendido entre el mes de inicio hasta que no haya transcurrido un semestre calendario completo. En este supuesto, los sujetos ingresarán el importe que resulte de la aplicación del procedimiento previsto para el inicio de actividad.

También, cabe recordar que a partir de abril de 2019, se implementará la factura electrónica obligatoria para todas las categorías.

Hasta el momento están obligados hasta la categoría la categoría D, el resto deberán seguir el siguiente cronograma:

Categoría C: Febrero 2019

Categoría B: Marzo 2019

Categoría A: Abril 2019

Para el caso de monotributistas que solo tengan operaciones con consumidores finales, la obligatoriedad comienza el 1 de abril de 2019.

Controlador Fiscal. Asimismo, los contribuyentes podrán optar por la emisión electrónica de comprobantes o mediante controladores fiscales, sin que sea necesario informar esta situación a la AFIP.

Por último, tal vez el cambio mas importante en el régimen simplificado para el 2019, será que comenzará a aplicarse progresivamente la unificación de la liquidación y pago del monotributo con los regímenes simplificados/locales de Ingresos Brutos de diversos fiscos provinciales.

Hasta el momento, las provincias que lo aplican son Córdoba y Mendoza.

Paso a paso: cómo recategorizarse

En primer lugar hay que ingresar a la página web del organismo tributario y dirigirse al sector \"Monotributo\". Allí habrá que ingresar el CUIT y la Clave Fiscal.

Una vez ingresado, se desplegarán varias opciones, entre ellas domicilio electrónico, habilitación de puntos de venta, pagos, constancias, datos del monotributo y personales. La opción a clickear será \"Ver mi categoría - Recategorizarme\".

 

Luego llegará el momento de informar oficialmente cuál el monto facturado entre las fechas que el sistema indica. Ese será el primer criterio, el de facturación.

 

Si el inscripto además lleva adelante su labor en una oficina, podrá desplegar otro menú para cargar en el formulario cuál es la cantidad de energía eléctrica consumida y la superficie del lugar de trabajo. También podrá ingresarse el monto de alquileres pagado en ese lapso de tiempo.

En la siguiente etapa, la AFIP dará a conocer cuál es la información que tiene el organismo sobre los pagos hechos por ese monotributista, incluyendo comprobantes electrónicos y las cuotas del régimen simplificado.

 

El último click será para confirmar la operación.

 

La AFIP informará entonces cuál será la nueva categoría en la cual estará incluido el contribuyente.

Compartinos tu opinión

Te puede interesar

Últimas noticias

Fotos

Queremos invitarte a conocer Tierra del Fuego a través de sus maravillosos paisajes.

Invierno fueguino en 360°: Río Grande bajo la nieve

ver todas las fotos

Videogalería Ver más

Momentos TDF

Teclas de acceso